Editor’s note: “Ask an SEO” is a weekly column by technical SEO expert Jenny Halasz. Come up with your hardest SEO question and fill out our form. You might see your answer in the next #AskanSEO post!
Today’s question is from Rahulkumar Patil of India. He asks:
What is more effective:
A) a link from a highly authoritative site
B) a link from highly relevant site
The Academic Answer
This question is difficult to answer without also knowing the topic of the authoritative or relevant site.
So let’s break the question down even further.
The most effective link you can get is one that is from a highly relevant, highly authoritative, topically related site. Any combination of those factors is also likely to be helpful for you in some way.
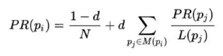
To illustrate how complicated this really is, look at Google’s PageRank algorithm:

This however, is only the official “PageRank” that is shared publicly, and only represents a carrying of value from one page to another, with a damping element included. It doesn’t account for the keywords used in the link text, the value of the source domain, the relevancy signals found on both the source and destination pages, and many other factors that we can only suspect impact the final value of a link.
If you’d like to read more on Google’s patent, here is the official filing. I also strongly recommend following Bill Slawski and reading his insights, as he’s well-known for watching and reporting accurately on Google’s patents.
In fact, Slawski blogged back in 2014 about a possible replacement for PageRank, which many SEOs suspect was actually integrated into the algorithm and is used to adjust ranking as well.
The Caveats
Even when considering the mathematical equation above, one also has to account for the PageRank being summarily dismissed at the source or at the destination of the link.
There are several different signals that could cause an otherwise high quality link to be dismissed entirely, including but not limited to:
- The presence of a nofollow attribute on the link source
- An x-robots tag directing nofollow for all links on the page or domain
- A nofollow directive on the source page
- A noindex directive to block indexation of the page (this will not function exactly as a nofollow, but can reduce the ability for search engines to discover the links)
- A robots.txt command to block indexation of the page (this will not function exactly as a nofollow, but can reduce the ability for search engines to discover the links)
- A canonical, rel alternate or hreflang tag pointing to a page that blocks links in any way or which is not properly reciprocated
- A noindex directive of any kind on the destination page
- A failure to render the destination page, either through a 4xx error or a 5xx error
- A 302 redirect between the source page and the destination page (this is debated hotly among SEOs)
- A series of redirect “hops” that exceeds the recommended number (currently thought to be 3, although again, debated hotly among SEOs)
- If Google discounts it because they think it is sponsored (this is in their sole discretion)
PageRank, or any other form of link authority measurement, must be “clean” of many negative signals that can impact the final link value. If you need some help checking to see that all of these signals are lined up, this article by Glenn Gabe does a nice job and also provides some good tools (including the SEO Site Tools extension, which I also use).
The Marketing Answer
All of the above might have you feeling a little overwhelmed. If you seek links and relationships that are:
- Highly authoritative
- Highly relevant
- Topically related
…you will find that you succeed at link building.
Any link that brings quality traffic to your site is a good link, whether it’s nofollow, or not authoritative, or not very relevant.
A highly relevant link can be just as valuable as a highly authoritative link, just in different ways.
Highly Authoritative
How do you know if a link is highly authoritative?
Well, most high authority links will be obvious. They’ll be from household names like online news sites or review sites, or from well-known practitioners in a field.
For example, a link from a site like the New York Times, Wall Street Journal, or Forbes would always be valuable. Similarly, even if you aren’t in a tech field, a link from a site like Gizmodo or TechCrunch is valuable. These are all high authority sites overall, not just in a specific field.
It gets a little harder when you get into niche fields where the authorities may not be household names, but you can still tell if a site is authoritative or not in a few different ways:
- Use the smell test. Does the site look legit? Is it free of spelling errors? Does it seem focused on a topic or a series of related topics?
- Would you pay to put a link on this site? If so, others probably already have. Look at what other sites they link to. Do the links seem mostly nofollow, or do they use affiliate codes? Would a link on this site to your site look like it belongs?
- Check backlinks with a third party tool like Majestic or Moz. But remember, just because it doesn’t have a high “Domain Authority” or “Citation” score doesn’t mean the site isn’t valuable.
This is a good time to point out that I think it’s pointless to look at individual “page authority” and “domain authority.” I know that a lot of tools (Moz included) use this terminology, but I think it misses the point of what a link is supposed to be about.
The purpose of a link is to:
- Provide context.
- Define a topic.
- Explain an idea.
- Provide further resources for a topic.
The main goal of a link should be to get more traffic, with link value to search engines as a secondary benefit.
Scoring pages based on their link authority misses that point entirely. If it’s a useful page, you shouldn’t not link to it just because it has a low “authority.”
Highly Relevant & Topically Related
Many of the tests to determine if a site is highly relevant are similar to the authoritative tests.
- Smell test. You know if the site seems like it’s related to what you offer or not. Be honest with yourself. While women traveling may be shopping for pantyhose for their trip, it’s not a direct correlation to link your pantyhose site on a travel blog, and your site will look out of place. Look for a site about fashion instead.
- Topic test. If the site looks legit, are the articles or content focused around a particular topic or series of topics? Often you will find in this step that a site has articles about iPhone cases, prescription diet pills, and SEO techniques all in one blog. In most cases, that’s a good indication that the site is not highly relevant and may even be considered spam.
- Google a couple of the people on the site. Are they experts in the field? Does the site have social profiles that are updated regularly?
- Google the site name with “reviews”. Do you see a lot of negativity? That can sometimes indicate that even if the site is highly relevant to your business, you might not want to be associated with them.
The tests above will help, but remember: even a site without relevant content can sometimes bring a good amount of traffic to your site, especially if the visitor profile is similar.
Summary
Try to focus less on what constitutes a “good link” and more on the idea of a traditional cross-sell. If you can find sites that have a similar customer profile to yours, with decent link authority and some relevant content, you’ll hit the jackpot every time.
Because even if the link itself doesn’t bear fruit with ranking (maybe Google will consider it sponsored or there will be an unknown x-robots nofollow tag), it will drive more traffic to your website.
Have a question about SEO for Jenny? Fill out this form or use #AskAnSEO on social media.
Featured Image: Paulo Bobita











Comments (0)